13. Пирролы: реакции и методы синтеза
Пиррол [1] и простые алкилпирролы представляют собой бесцветные жидкости с относительно слабым запахом, напоминающим запах анилина, которые так же, как и анилины, темнеют в результате самопроизвольного окисления. Пиррол сам по себе коммерчески доступен и получается в промышленности газофазной реакцией фурана и аммиака, катализируемой оксидом алюминия.
Впервые пиррол был выделен из каменноугольной смолы в 1834 году и затем в 1857 году получен в результате сухой перегонки костной муки; последний процесс аналогичен используемому ранее лабораторному методу синтеза пиррола, основанному на сухой перегонке аммонийной соли слизевой кислоты. Само слово «пиррол» происходит от греческого «красный», это связано с тем, что пиррол придаёт яркую красную окраску сосновым стружкам, смоченным в концентрированной соляной кислоте.

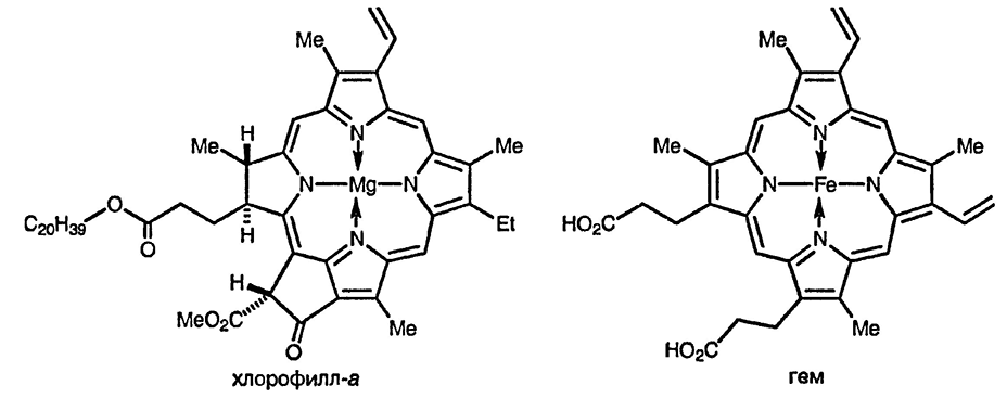
Первоначальные исследования в области химии пиррола были связаны с деградацией двух важных пигментов: гема — пигмента крови, обеспечивающего процесс дыхания, и хлорофилла — зелёного пигмента растений, ответственного за процесс фотосинтеза [2] Разложение этих пигментов привело к получению смеси алкилпирролов. Хлорофилл и гем синтезируются в живой клетке из порфобилиногена, причём только ароматические пирролы играют чрезвычайно важную роль в основном метаболизме [3] [4].

В конечном итоге все жизненные процессы на земле связаны с процессом включения атмосферного диоксида углерода в углеводы. Этот процесс, называемый фотосинтезом, требует больших энергетических затрат и источником энергии для него служит солнечный свет. На первой стадии этого сложного процесса происходит поглощение фотона пигментами, причём в многоклеточных растениях ключевую роль на этой стадии играет хлорофилл-α.
Энергия фотонов впоследствии превращается в химическую энергию, которая используется для связывания атомов углерода, включённых в молекулы диоксида углерода, что в конце концов сопровождается высвобождением кислорода Таким образом в качестве побочного продукта в этом процессе выделяется молекулярный кислород, обеспечивающий эволюцию всех аэробных организмов, в том числе и человека.

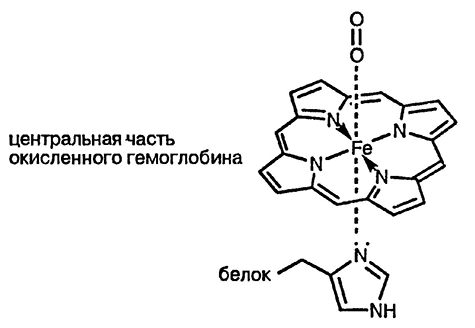
Гемоглобин переносит кислород от лёгких в сеть артериальных кровеносных сосудов млекопитающих и состоит из белка глобина, связанного с простетической группой — пигментом гемом. Чрезвычайно близкое структурное родство гема и хлорофилла поразительно и даёт возможность предположить их общее эволюционное происхождение. В окисленном гемоглобине присутствует шестикоординированное железо(II), которое связано с атомом азота имидазольного фрагмента белка гистидина, расположенного с одной стороны плоскости макроцикла, и молекулярным кислородом, находящимся с другой стороны. Гем без железа(II) называется протопорфирином IX, а незамещённый макроцикл называется порфирином. Гем также входит в состав цитохромов [5] — ферментов, обеспечивающих перенос электронов.

Витамин В12 [6] также представляет собой производное порфобилиногена, однако, хотя его строение родственно хлорофиллу и гему, существуют определённые отличия. Соответствующий незамещённый макроцикл называется коррином.

Кеторолак обладает анальгетическим и противовоспалительным действием и эквивалентен сульфату морфина по своей способности облегчать послеоперационные боли. Аторвастатин используется для понижения уровня холестерина.
Глава 13
- 13. Пирролы: реакции и методы синтеза
- 13.1. Реакции с электрофильными реагентами
- 13.1.1. Протонирование
- 13.1.1.1. Реакции протонированных пирролов
- 13.1.2. Нитрование
- 13.1.3. Сульфирование и реакции с использованием других серосодержащих электрофильных реагентов
- 13.1.4. Галогенирование
- 13.1.5. Ацилирование
- 13.1.6. Алкилирование
- 13.1.7. Конденсация с альдегидами и кетонами
- 13.1.8. Конденсации с иминами и иминиевыми ионами
- 13.1.9. Сочетание с солями диазония
- 13.2. Реакции с окислителями
- 13.3. Реакции с нуклеофильными реагентами
- 13.4. Реакции с основаниями
- 13.4.1. Депротонирование атома азота
- 13.4.2. Депротонирование по атому углерода
- 13.5. Реакции N-металлированных производных пиррола
- 13.5.1. Литий-, натрий-, калий-, магний- и цинкорганические производные
- 13.6. Реакции C-металлированных производных пиррола
- 13.6.1. Литийорганические производные
- 13.6.2. Реакции, катализируемые палладием
- 13.7. Реакции с радикальными реагентами
- 13.8. Реакции с восстановителями
- 13.9. Электроциклические реакции (основного состояния)
- 13.10. Реакции с карбенами и карбеноидами
- 13.11. Фотохимические реакции
- 13.12. Реакции пиррил-C-X-соединений
- 13.13. Пирролальдегиды и пирролкетоны
- 13.14. Пирролкарбоновые кислоты
- 13.15. Эфиры пирролкарбоновых кислот
- 13.16. Галогенопирролы
- 13.17. Окси- и аминопирролы
- 13.17.1. 2-Оксипирролы
- 13.17.2. 3-Оксипирролы
- 13.17.3. Аминопирролы
- 13.18. Методы синтеза пирролов
- 13.18.1. Синтез кольца
- 13.18.1.1. Из 1,4-дикарбонильных соединений и аммиака или первичных аминов
- 13.18.1.2. Из α-аминокарбонильных соединений и активированных кетонов
- 13.18.1.3. Из α-галогенокарбонильных соединений
- 13.18.1.4. Из тозилметилизоцианида и α,β-непредельных эфиров или кетонов и из изоцианоацетатов и α,β-непредельных нитросоединений
- 13.18.1.5. Из 1,3-дикарбонильных соединений и эфиров глицина
- 13.18.1.6. Из алкинов и оксидооксазолиевых солей
- 13.18.2.1. Некоторые современные общие подходы к синтезу пиррола
- 13.18.2.2. Из альдегидов, аминов и нитроалканов
- 13.18.2.3. Из 4-аминоацетиленов и из 4-аминоацетиленовых кетонов
- 13.18.2.4. Из 2-аминокетонов через промежуточное образование алкилиденкарбенов
- 13.18.3. Примеры синтезов некоторых важных производных пиррола
- 13.18.3.1. Порфобилиноген
- 13.18.3.2. Октаэтилпорфирин
- 13.18.3.3. Октаэтилпорфирин
- 13.18.3.4. Октаэтилгемипорфицен
- 13.18.3.5. Бензо[1,2-b:4,3-b’]дипиррол
- 13.18.3.6. Эпибатидин
Дополнительно:
Немецко-русский химический словарь Словарь содержит около 45 000 слов — достаточно полное собрание терминов по ...
В работе описывается использование квантовомеханических методов (вариационного, ...

