13.1.8. Конденсации с иминами и иминиевыми ионами
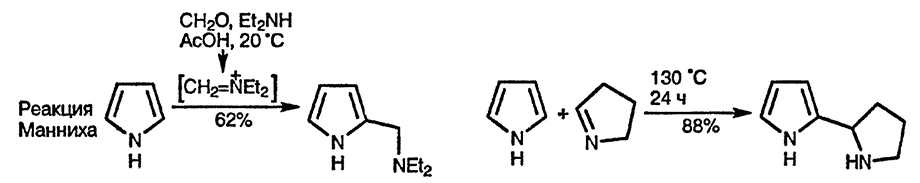
Имины и иминиевые ионы представляют собой азотсодержащие эквиваленты карбонильных соединений и протонированных по атому кислорода карбонильных соединений и, как следствие, обладают аналогичной реакционной способностью. Реакция Манниха с участием пиррола приводит к диалкиламинометил-производным, имминиевый электрофильный реагент генерируется in situ из формальдегида, диметиламина и уксусной кислоты [54]. Существует лишь несколько примеров реакций пиррола с иминами: один из них — конденсация пиррола с 1-пирролином, выступающим в качестве реагента и растворителя одновременно [55].

Процесс полимеризации пиррола, катализируемый минеральными кислотами, представляет собой совокупность целой серии реакций Манниха. При определённых условиях пиррол может быть превращён в тример, который может быть выделен и который, вероятно, служит интермедиатом реакции полимеризации.
Образование такого тримера становится понятным, если предположить, что в качестве электрофильной частицы, присоединяющейся к молекуле пиррола, выступает наименее стабильный, но более реакционноспособный β-протонированный катион. Промежуточно образующийся димер представляет собой енамин и обладает слишком высокой реакционной способностью, чтобы быть выделенным, в то время как тример в виде соли в дальнейшие превращения вступает медленно [56].

Глава 13
- 13. Пирролы: реакции и методы синтеза
- 13.1. Реакции с электрофильными реагентами
- 13.1.1. Протонирование
- 13.1.1.1. Реакции протонированных пирролов
- 13.1.2. Нитрование
- 13.1.3. Сульфирование и реакции с использованием других серосодержащих электрофильных реагентов
- 13.1.4. Галогенирование
- 13.1.5. Ацилирование
- 13.1.6. Алкилирование
- 13.1.7. Конденсация с альдегидами и кетонами
- 13.1.8. Конденсации с иминами и иминиевыми ионами
- 13.1.9. Сочетание с солями диазония
- 13.2. Реакции с окислителями
- 13.3. Реакции с нуклеофильными реагентами
- 13.4. Реакции с основаниями
- 13.4.1. Депротонирование атома азота
- 13.4.2. Депротонирование по атому углерода
- 13.5. Реакции N-металлированных производных пиррола
- 13.5.1. Литий-, натрий-, калий-, магний- и цинкорганические производные
- 13.6. Реакции C-металлированных производных пиррола
- 13.6.1. Литийорганические производные
- 13.6.2. Реакции, катализируемые палладием
- 13.7. Реакции с радикальными реагентами
- 13.8. Реакции с восстановителями
- 13.9. Электроциклические реакции (основного состояния)
- 13.10. Реакции с карбенами и карбеноидами
- 13.11. Фотохимические реакции
- 13.12. Реакции пиррил-C-X-соединений
- 13.13. Пирролальдегиды и пирролкетоны
- 13.14. Пирролкарбоновые кислоты
- 13.15. Эфиры пирролкарбоновых кислот
- 13.16. Галогенопирролы
- 13.17. Окси- и аминопирролы
- 13.17.1. 2-Оксипирролы
- 13.17.2. 3-Оксипирролы
- 13.17.3. Аминопирролы
- 13.18. Методы синтеза пирролов
- 13.18.1. Синтез кольца
- 13.18.1.1. Из 1,4-дикарбонильных соединений и аммиака или первичных аминов
- 13.18.1.2. Из α-аминокарбонильных соединений и активированных кетонов
- 13.18.1.3. Из α-галогенокарбонильных соединений
- 13.18.1.4. Из тозилметилизоцианида и α,β-непредельных эфиров или кетонов и из изоцианоацетатов и α,β-непредельных нитросоединений
- 13.18.1.5. Из 1,3-дикарбонильных соединений и эфиров глицина
- 13.18.1.6. Из алкинов и оксидооксазолиевых солей
- 13.18.2.1. Некоторые современные общие подходы к синтезу пиррола
- 13.18.2.2. Из альдегидов, аминов и нитроалканов
- 13.18.2.3. Из 4-аминоацетиленов и из 4-аминоацетиленовых кетонов
- 13.18.2.4. Из 2-аминокетонов через промежуточное образование алкилиденкарбенов
- 13.18.3. Примеры синтезов некоторых важных производных пиррола
- 13.18.3.1. Порфобилиноген
- 13.18.3.2. Октаэтилпорфирин
- 13.18.3.3. Октаэтилпорфирин
- 13.18.3.4. Октаэтилгемипорфицен
- 13.18.3.5. Бензо[1,2-b:4,3-b’]дипиррол
- 13.18.3.6. Эпибатидин
Дополнительно:
Рассмотрены теоретические основы синтеза полимеров, технологические процессы ...
Новые воззрения в органической химии. Органическая химия для углублённого изучения Москва, 1960 год. Государственное издательство иностранной литературы. ...

