13.18.1.4. Из тозилметилизоцианида и α,β-непредельных эфиров или кетонов и из изоцианоацетатов и α,β-непредельных нитросоединений
Тозилметилизоцианид-анион реагирует с эфирами, кетонами или сульфонами с потерей толуолсульфинатной группы. Изоциаоацетаты реагируют с α,β-непредельными нитросоединениями с отщеплением азотистой кислоты

Синтез ван Лёйзена
Стабилизированный анион тозилметилизоцианида (TosMIC) (или бензотриазол-1-илметилизоцианида, BetMIC [153]) способен присоединяться по типу реакции Михаэля к ненасыщенным кетонам и эфирам непредельных кислот с последующим замыканием цикла с участием атома углерода изоцианидного фрагмента. Перенос протона и последующее отщепление толуолсульфинат-иона приводит к образованию 3Н-пиррола, который таутомерно превращается в ароматическую структуру с незамещёнными положениями 2 и 5 [154]. Присоединение такого аниона к непредельным нитросоединениям приводит к образованию 2,5-незамещенных 3-нитропирролов [155].

Синтез Бартона-Зарда
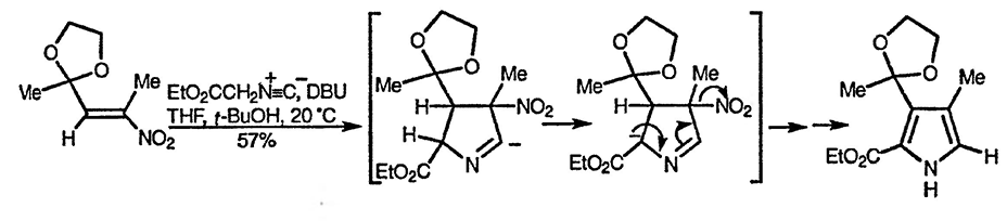
Этот подход основан на сопряжённом присоединении аниона этилового эфира изоцианоуксусной кислоты к α,β-непредельным нитросоединениям, которое сопровождается потерей молекулы азотистой кислоты на последней стадии и образованием этиловых эфиров пиррол-2-карбоновой кислоты, не содержащей заместителя в положении 5 [156]. Этот метод синтеза производных пиррола становится все более популярным; ниже приведён механизм образования пиррольного цикла [157], который демонстрирует сходство этого метода с рассмотренным выше синтезом ван Лёйзена.
Наиболее удобный метод синтеза α,β-непредельных нитросоединений включает в себя катализируемую основаниями конденсацию альдегидов с нитроалканами, приводящую к α-гидроксинитроалканам. Непредельные нитросоединения также могут быть генерированны in situ в присутствии изонитрила из O-ацетил-α-гидроксинитроалканов при действии диазабициклоундекана в качестве основания [158] (см. пример в разд. 13.18.3.3.).

Этот метод можно использовать даже в тех случаях, когда фрагмент ненасыщенного нитросоединения включён в полициклическую ароматическую систему, как это показано на приведённом ниже примере [159]:

Этот подход к синтезу производных пиррола может быть распространён на α,β-непредельные сульфоны, что значительно увеличивает практическую значимость метода. α,β-Непредельные сульфоны легко образуются, например, при присоединении фенилсульфенилхлорида к алкенам, последующем окислении атома серы и элиминировании хлороводорода на заключительной стадии. Реакция непредельных сульфонов с эфирами изоцианоуксусной кислоты и изоцианонитрилами приводит к образованию производных пиррола [160].
13.18.1.4. Из тозилметилизоцианида и α,β-непредельных эфиров или кетонов и из изоцианоацетатов и α,β-непредельных нитросоединений
Список литературы к главе 13
Упражнения к главе 13
Глава 13
- 13. Пирролы: реакции и методы синтеза
- 13.1. Реакции с электрофильными реагентами
- 13.1.1. Протонирование
- 13.1.1.1. Реакции протонированных пирролов
- 13.1.2. Нитрование
- 13.1.3. Сульфирование и реакции с использованием других серосодержащих электрофильных реагентов
- 13.1.4. Галогенирование
- 13.1.5. Ацилирование
- 13.1.6. Алкилирование
- 13.1.7. Конденсация с альдегидами и кетонами
- 13.1.8. Конденсации с иминами и иминиевыми ионами
- 13.1.9. Сочетание с солями диазония
- 13.2. Реакции с окислителями
- 13.3. Реакции с нуклеофильными реагентами
- 13.4. Реакции с основаниями
- 13.4.1. Депротонирование атома азота
- 13.4.2. Депротонирование по атому углерода
- 13.5. Реакции N-металлированных производных пиррола
- 13.5.1. Литий-, натрий-, калий-, магний- и цинкорганические производные
- 13.6. Реакции C-металлированных производных пиррола
- 13.6.1. Литийорганические производные
- 13.6.2. Реакции, катализируемые палладием
- 13.7. Реакции с радикальными реагентами
- 13.8. Реакции с восстановителями
- 13.9. Электроциклические реакции (основного состояния)
- 13.10. Реакции с карбенами и карбеноидами
- 13.11. Фотохимические реакции
- 13.12. Реакции пиррил-C-X-соединений
- 13.13. Пирролальдегиды и пирролкетоны
- 13.14. Пирролкарбоновые кислоты
- 13.15. Эфиры пирролкарбоновых кислот
- 13.16. Галогенопирролы
- 13.17. Окси- и аминопирролы
- 13.17.1. 2-Оксипирролы
- 13.17.2. 3-Оксипирролы
- 13.17.3. Аминопирролы
- 13.18. Методы синтеза пирролов
- 13.18.1. Синтез кольца
- 13.18.1.1. Из 1,4-дикарбонильных соединений и аммиака или первичных аминов
- 13.18.1.2. Из α-аминокарбонильных соединений и активированных кетонов
- 13.18.1.3. Из α-галогенокарбонильных соединений
- 13.18.1.4. Из тозилметилизоцианида и α,β-непредельных эфиров или кетонов и из изоцианоацетатов и α,β-непредельных нитросоединений
- 13.18.1.5. Из 1,3-дикарбонильных соединений и эфиров глицина
- 13.18.1.6. Из алкинов и оксидооксазолиевых солей
- 13.18.2.1. Некоторые современные общие подходы к синтезу пиррола
- 13.18.2.2. Из альдегидов, аминов и нитроалканов
- 13.18.2.3. Из 4-аминоацетиленов и из 4-аминоацетиленовых кетонов
- 13.18.2.4. Из 2-аминокетонов через промежуточное образование алкилиденкарбенов
- 13.18.3. Примеры синтезов некоторых важных производных пиррола
- 13.18.3.1. Порфобилиноген
- 13.18.3.2. Октаэтилпорфирин
- 13.18.3.3. Октаэтилпорфирин
- 13.18.3.4. Октаэтилгемипорфицен
- 13.18.3.5. Бензо[1,2-b:4,3-b’]дипиррол
- 13.18.3.6. Эпибатидин
Дополнительно:
Книга для чтения по неорганической химии (комплект из 2 книг) Перед вами третье издание «Книги для чтения по неорганической химии». Эта книга ...
Введение в количественный ультрамикроанализ В книге изложены основные принципы ультрамикроанализа, даны сведения о методике ...
Основные начала неорганической химии Воспроизведено в оригинальной авторской орфографии издания 1912 года ...
