Глава 13. Упражнения повышенной сложности
1. Два изомерных мононитропроизводных C5H6N2O2 образуются в соотношении 6:1 при взаимодействии 2-метилпиррола с Ac2O/HNO3. Каково строение основного продукта реакции?

2. Приведите структурные формулы соединений образующихся в результате следующих реакций:
а) при взаимодействии пиррола с Cl3CCOCl, затем полученного соединения с Br2 и затем продукта реакции с MeONa/MeOH → C6H6BrNO2;
б) при взаимодействии пиррола с диметилформамидом /POCl3, затем продукта реакции с MeCOCl/AlCl3 и на заключительной стадии с водным NaOH → C7H7NO2,
в) при реакции 2-хлорпиррола с диметилфорамидом/POCl3, затем водным NaOH и затем продукта реакции с LiAlH4 → C5H6ClN.

3. Приведите структурные формулы соединений, образующихся на конечной стадии в каждом случае при реакции пиррола с POCl3 и
а) N,N-диметилбензамидом;
б) N,N-диметиламидом пиррол-2-карбоновой кислоты;
в) 2-пирролидоном и водным раствором гидроксида натрия.

4. При обработке 2-метилпиррола HCl образуется димер, а не тример, как в случае самого пиррола (разд. 13.1.8). Предложите структурную формулу димера C10H14N2 и объясните, почему в этом случае не образуется тримера.

5. При взаимодействии 2,5-диметилпиррола с Zn/HCl образуется смесь двух изомерных продуктов реакции C6H11N. Предложите их структурные формулы.

6. а) При нагревании 1-метоксикарбонилпиррола с диэтиловым эфиром ацетилен-дикарбоновой кислоты при 160 °C образуется диэтиловый эфир 1-метоксикарбонилпиррол-3,4-дикарбоновой кислоты. Предложите механизм процесса и структуры образующихся интермедиатов,
б) Предложите структурную формулу соединения C11H12N2O2, образующегося при последовательном взаимодействии 1-метоксикарбонилпиррола с синглетным кислородом и затем со смесью 1-метилпиррола и SnCl2.

7. Предложите структурные формулы соединений, образующихся на каждой стадии при взаимодействии пиррола последовательно со следующими реагентами:
a) Me2NH/HCHO/AcOH;
б) CH3I;
в) пиперидин в горячем этаноле → C10H16N2.

8. Предложите способы получения
а) 1-пропилпиррола;
б) 1 -(тиен-2-ил)пиррола;
в) 1-фенилсульфонилпиррола из соединений, не содержащих пиррольный цикл.

9. Взаимодействие этилового эфира ацетоуксусной кислоты с HNO2 и затем с Zn/AcOH и впоследствии с пентан-2,4-дионом приводит к образованию пиррола C11H15NO3. Предложите структурную формулу пиррола, последовательность приводящую к его образованию, и способ его превращения в 2,4-диметил-3-этилпиррол.

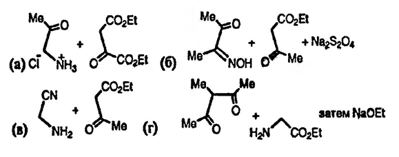
10. Предложите способы получения следующих соединений:
а) диэтилового эфира 4-метилпиррол-2,3-дикарбоновой кислоты;
б) этилового эфира 2,4,5-триметил-пиррол-3-карбоновой кислоты;
в) этилового эфира 4-амино-2-метилпиррол-3-карбоновой кислоты;
г) этилового эфира 3,4,5-триметилпиррол-2-карбоновой кислоты.

Глава 13
- 13. Пирролы: реакции и методы синтеза
- 13.1. Реакции с электрофильными реагентами
- 13.1.1. Протонирование
- 13.1.1.1. Реакции протонированных пирролов
- 13.1.2. Нитрование
- 13.1.3. Сульфирование и реакции с использованием других серосодержащих электрофильных реагентов
- 13.1.4. Галогенирование
- 13.1.5. Ацилирование
- 13.1.6. Алкилирование
- 13.1.7. Конденсация с альдегидами и кетонами
- 13.1.8. Конденсации с иминами и иминиевыми ионами
- 13.1.9. Сочетание с солями диазония
- 13.2. Реакции с окислителями
- 13.3. Реакции с нуклеофильными реагентами
- 13.4. Реакции с основаниями
- 13.4.1. Депротонирование атома азота
- 13.4.2. Депротонирование по атому углерода
- 13.5. Реакции N-металлированных производных пиррола
- 13.5.1. Литий-, натрий-, калий-, магний- и цинкорганические производные
- 13.6. Реакции C-металлированных производных пиррола
- 13.6.1. Литийорганические производные
- 13.6.2. Реакции, катализируемые палладием
- 13.7. Реакции с радикальными реагентами
- 13.8. Реакции с восстановителями
- 13.9. Электроциклические реакции (основного состояния)
- 13.10. Реакции с карбенами и карбеноидами
- 13.11. Фотохимические реакции
- 13.12. Реакции пиррил-C-X-соединений
- 13.13. Пирролальдегиды и пирролкетоны
- 13.14. Пирролкарбоновые кислоты
- 13.15. Эфиры пирролкарбоновых кислот
- 13.16. Галогенопирролы
- 13.17. Окси- и аминопирролы
- 13.17.1. 2-Оксипирролы
- 13.17.2. 3-Оксипирролы
- 13.17.3. Аминопирролы
- 13.18. Методы синтеза пирролов
- 13.18.1. Синтез кольца
- 13.18.1.1. Из 1,4-дикарбонильных соединений и аммиака или первичных аминов
- 13.18.1.2. Из α-аминокарбонильных соединений и активированных кетонов
- 13.18.1.3. Из α-галогенокарбонильных соединений
- 13.18.1.4. Из тозилметилизоцианида и α,β-непредельных эфиров или кетонов и из изоцианоацетатов и α,β-непредельных нитросоединений
- 13.18.1.5. Из 1,3-дикарбонильных соединений и эфиров глицина
- 13.18.1.6. Из алкинов и оксидооксазолиевых солей
- 13.18.2.1. Некоторые современные общие подходы к синтезу пиррола
- 13.18.2.2. Из альдегидов, аминов и нитроалканов
- 13.18.2.3. Из 4-аминоацетиленов и из 4-аминоацетиленовых кетонов
- 13.18.2.4. Из 2-аминокетонов через промежуточное образование алкилиденкарбенов
- 13.18.3. Примеры синтезов некоторых важных производных пиррола
- 13.18.3.1. Порфобилиноген
- 13.18.3.2. Октаэтилпорфирин
- 13.18.3.3. Октаэтилпорфирин
- 13.18.3.4. Октаэтилгемипорфицен
- 13.18.3.5. Бензо[1,2-b:4,3-b’]дипиррол
- 13.18.3.6. Эпибатидин
Дополнительно:
Описаны синтез, свойства и строение комплексонов и комплексонатов металлов, ...


