6.10. Оксихинолины и оксиизохинолины
Хинолинолы и изохинолинолы, содержащие кислородный заместитель в любых положениях, за исключениям положений 2 и 4 в хинолине и 1 и 3 в изохинолине, аналогичны фенолу, то есть содержат гидроксильную группу. Для них так же, как и для аналогичных производных пиридина, характерно равновесие с цвиттерионной структурой с протонированным атомом азота и депротонированным атомом кислорода. Для всех таких соединений характерны химические свойства нафтолов [54]. 8-Оксихинолин долгое время использовался в химическом анализе как хелатирующий агент особенно для катионов цинка(II), магния(II) и алюминия(III), ахелатный комплекс 8-оксихинолина с катионом меди(II) находит применение в качестве фунгицида.
2-Хинолон, точнее 2-(1Н)-хинолинон, 4-изохинолон и 1-изохинолон существуют практически полностью в карбонильной таутомерной форме [55], что проявляется во всех их свойствах. Гидрокситаутомер вносит существенный вклад в поляризацию структуры, как это показано ниже для 1-изохинолона. Хинолоны представляют значительный интерес в плане их использования в качестве антибактериальных препаратов [56].

Для 3-оксиизохинолина характерно существование двух схожих по стабильности таутомерных форм. 3-Изохинолинол — доминирующая таутомерная форма для раствора в сухом эфире, 3-изохинолон предпочтителен в водных растворах. Бесцветный раствор 3-изохинолинола в эфире приобретает жёлтую окраску при добавлении небольшого количества метанола, что обусловлено образованием некоторого количества карбонильного таутомера. Схожая стабильность этих двух таутомерных форм является следствием взаимной компенсации двух противоположных тенденций: наличие амидного фрагмента приводит к возникновению менее энергетически выгодной хиноидной структуры в бензольном кольце, сохранение же ароматичности бензольного кольца приводит к потере амидной таутомерной формы и связанной с ней стабильности. Таким образом, для этого соединения характерно существование одновременно амидной таутомерной формы и таутомерной формы с «полноценным» бензольным кольцом [57].

Направление атаки электрофилом в хинолонах и изохинолонах зависит от значения pH реакционной среды. При проведении реакции в сильнокислых средах реализуется атака электрофилом по предварительно образующемуся катиону: зависимость направления атаки от кислотности среды может быть наглядно продемонстрирована на примере нитрования 4-хинолона [58]. Разница в реакционной способности бензольного кольца и протонированного гетероциклического фрагмента не очень велика: так, 2-хинолон хлорируется в виде нейтральной молекулы преимущественно по положению C(6) и лишь впоследствии по положению C(3).

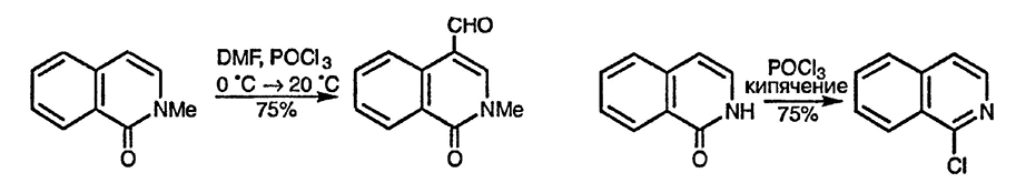
Протонный обмен в 2-хинолоне, катализируемый сильными кислотами, проходит быстрее по положениям 6 и 8, а в случае 1-изохинолона — по положению 4 [59]. Такой порядок реакционной способности наблюдается и в различных реакциях электрофильного замещения, например, в реакциях формулирования [60].

Депротонирование атома азота карбонильных таутомеров приводит к образованию амбидентных анионов, способных в зависимости от условий вступать в реакцию с участием как атома кислорода, так и атома азота. Для таких соединений, так же как и для пиридонов, характерно превращение в соответствующие галогенопроизводные (галогенохинолинолины и галогеноизохинолины [61]) при взаимодействии с галогенидами фосфора. Для хинолинолов и изохинолинолов аналогичные превращения неизвестны.
Глава 6
- 6. Хинолины и изохинолины: реакции и методы снитеза
- 6.1. Реакции с электрофильными реагентами
- 6.1.1. Присоединение по атому азота
- 6.1.2. Замещение при атоме углерода
- 6.1.2.1. Протонный обмен
- 6.1.2.2. Нитрование
- 6.1.2.3. Сульфирование
- 6.1.2.4. Галогенирование
- 6.1.2.5. Ацилирование и алкилирование
- 6.2. Реакции с окислителями
- 6.3. Реакции с нуклеофильными реагентами
- 6.3.1. Нуклеофильное замещение атома водорода
- 6.3.1.1 Алкилирование и арилирование
- 6.3.1.2. Аминирование и нитрование
- 6.3.2. Гидроксилирование
- 6.3.2.1. Нуклеофильное замещение атома галогена
- 6.4. Реакции с основаниями
- 6.4.1. Депротонирование при атоме углерода
- 6.5. Реакции C-металлированных хинолинов и изохинолинов
- 6.5.1. Литийорганические производные
- 6.5.2. Цинкорганические соединения
- 6.5.3. Реакции, катализируемые палладием и никелем
- 6.6. Реакции со свободными радикалами
- 6.7. Реакции с восстановителями
- 6.8. Электроциклические реакции основного состояния
- 6.9. Фотохимические реакции
- 6.10. Оксихинолины и оксиизохинолины
- 6.11. Аминохинолины и аминоизохинолины
- 6.12. Алкилхинолины и алкилизохинолины
- 6.13. Хинолин- и изохинолинкарбоновые кислоты и их эфиры
- 6.14. Четвертичные хинолиниевые и изохинолиниевые соли
- 6.15. N-оксиды хинолина и изохинолина
- 6.16. Методы синтеза хинолинов и изохинолинов
- 6.16.1. Синтез кольца
- 6.16.1.1. Хинолины из ариламинов и 1,3-дикарбонильных соединений
- 6.16.1.2. Хинолины из ариламинов и α,β-ненасыщенных карбонильных соединений
- 6.16.1.3. Хинолины из орто-ацилариламинов и карбонильных соединений
- 6.16.1.4. Изохинолины из арилальдегидов и 2,2-диэтоксиэтиламина
- 6.16.1.5. Изохинолины из арилэтиламидов
- 6.16.1.6. Изохинолины из активированных арилэтиламинов и альдегидов
- 6.16.1.7. Современные методы
- 6.16.2. Примеры синтезов некоторых важных производных хинолина и изохинолина
- 6.16.2.1. Хлорохин
- 6.16.2.2. Папаверин
- 6.16.2.3. Метоксатин
Дополнительно:
Книга посвящена вопросам термической стабильности гетероцепных полимеров — ...
Комплексы 4d-платиновых металлов с фосфор(III)- и мышьяк(III)- органическими лигандами В монографии проанализированы и обобщены данные по условиям стабилизации ...
В книге, входящей в серию «Полимерные материалы в народном хозяйстве», изложены ...
