24.2.1.2. Алкилирование по атому азота
Как и следовало ожидать от систем, содержащих четыре атома азота, N-алкилирование пуринов протекает довольно сложно, и в нем могут участвовать нейтральная молекула или N-анион. Пурин реагирует с метилиодидом с образованием соли 7,9-диметилпуриния [5].

В нейтральных условиях аденин алкилируется по атому азота N(3), а в присутствии основания происходит 7/9-замещение. Производные аденозина, с одной стороны, обычно алкилируются по положению 1, что, вероятно, обусловлено тем, что атаке по положению N(3) мешает расположенный в пери-положении заместитель — 9-рибоза. С другой стороны, атака по атому N(3) все же может происходить при внутримолекулярной кватернизации, которая представляет собой основной побочный процесс при замещении атома галогена в положении 5′.
Эффективный метод алкилирования 6-аминогрупп заключается в перегруппировке соли 1 — алкиладенозиния; процесс идёт по ANRORC-механизму — перегруппировка Димрота [6] [7].

Другая перегруппировка по реакции Димрота позволяет ввести изотопную метку в положение 1, и в качестве исходного соединения используют аденозин, меченный по атому азота аминогруппы [8].

Алкилирование кислородсодержащих пуринов, например гипоксантина, в щелочной среде идёт как по амидному атому азота, так и по атому азота пятичленного цикла, и поэтому селективность процесса становится весьма проблематичной. В нейтральных условиях ксантин превращается в 7,9-диалкилиро-ванные четвертичные соли. На примере алкилирования 6-хлорпурина можно проследить зависимость направления реакции от условий её проведения: в растворе основания замещается как положение 7, так и 9 [9], в то время как реакция с карбокатионом селективно идёт атому азота N(9) [10].

Для аденинов очень удобно использовать 9-трет-бугилдиметилсилилокси-метильную защитную группу, поскольку она способствует хорошей растворимости в органических растворителях. Введение этой группы происходит постадийно путём первоначального превращения аденина в 9-гидроксиметильное производное при взаимодействии с формальдегидом и основанием и последующего О-силилирования [11].
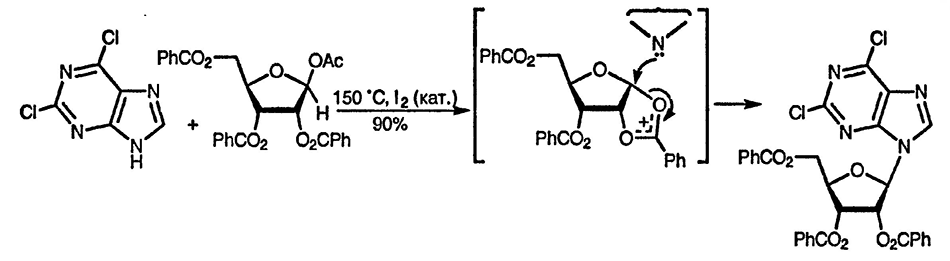
Соотношение продуктов N(9)- и N(7)-алкилирования также зависит от размера заместителя в положении 6: при наличии объёмного заместителя в положении 6 алкилирование идёт преимущественно по положению 9, а не 7 [12]. Соотношение это также зависит от природы алкилирующего агента: так, при использовании акцептора Михаэля, например метилакрилата, алкилирование обратимо и концентрация термодинамического продукта может возрастать [13]. Региоспецифичное 7-алкилирование может быть проведено кватернизацией 9-рибозида с последующим гидролитическим удалением углеводного остатка, как показано на схеме [14]. Алкилирование по атому азота N(7) в нуклеиновых кислотах лежит в основе механизма мутагенеза/канцерогенеза при действии некоторых природных токсинов, таких, как афлатоксин [15].

В условиях, когда селективность N(7)/N(9) мала, алкилирование в положение 9 можно направить путём введения объёмной защитной группы в положение 6 [16].

Возвращаясь опять к вопросу о региоселекгивности, следует упомянуть также процесс рибозилирования пуринов, в котором возможно образование эпимерных соединений при связывании с атомом 1′ рибозы, и этот процесс часто более трудно контролировать. Многочисленные исследования показали, что различные условия оказываются эффективными в особых случаях, но таких условий, которые были бы универсальными, обнаружить не удалось [17]. В таких реакциях алкилирования обычно используют взаимодействие ацилированных или галогеносодержащих рибозидов с ртуть- [18], кремний- [17] или натрийпроизводными [19] пурина, прич`м иногда может быть достигнуто стереоселективное замещение атома галогена.

Другие методы, позволяющие контролировать стереохимию реакции, включают использование изопропилиденовой защитной группы, экранирующей остаток сахара [20], или анхимерного содействия бензоатной группы в положении 2′ [21].
Ферментативный катализ был использован для рибозилирования пуриновых и родственных структур при реакции с 7-алкилированными нуклеозидами [22].

Глава 24
- 24. Пурины: реакции и методы синтеза
- 24.1. Нуклеиновые кислоты, нуклеозиды и нуклеотиды
- 24.2. Реакции с электрофильными реагентами
- 24.2.1. Присоединение по атому азота
- 24.2.1.1. Протонирование
- 24.2.1.2. Алкилирование по атому азота
- 24.2.1.3. Ацилирование по атому азота
- 24.2.1.4. Окисление по атому азота
- 24.2.2. Замещение по атому углерода
- 24.2.2.1. Галогенирование
- 24.2.2.2. Нитрование
- 24.2.2.3. Реакции сочетания с солями диазония
- 24.3. Реакции со свободными радикалами
- 24.4. Реакции с окислителями
- 24.5. Реакции с восстановителями
- 24.6. Реакции с нуклеофильными реагентами
- 24.7. Реакции с основаниями
- 24.7.1. Депротонирование N-водорода
- 24.7.2. Депротонирование С-водорода
- 24.8. Реакции N-металлированных пуринов
- 24.9. Реакции C-металлированных пуринов
- 24.9.1. Литийорганические производные
- 24.9.2. Реакции, катализируемые палладием
- 24.10. Окси- и аминопурины
- 24.10.1. Оксипурины
- 24.10.1.1. Алкилирование
- 24.10.1.2. Ацилирование
- 24.10.1.3. Замещение на атом хлора
- 24.10.1.4. Замещение на атом серы
- 24.10.2. Аминопурины
- 24.10.2.1. Алкилирование
- 24.10.2.2. Ацилирование
- 24.10.2.3. Диазотирование
- 24.10.3. Тиопурины
- 24.11. Алкилпурины
- 24.12. Пуринкарбоновые кислоты
- 24.13. Синтезы пуринов
- 24.13.1. Синтез кольца
- 24.13.1.1. Из 4,5-диаминопиримидинов
- 24.13.1.2. Из 5-аминоимидазол-4-карбоксамида или 5-аминоимидазол-4-карбонитрила
- 24.13.1.3. Реакцией циклоприсоединения
- 24.13.1.4. Синтезы «в одной колбе»
- 24.13.2. Примеры синтезов некоторых важных пуринов
- 24.13.2.1. Аристеромицин
- 24.13.2.2. Аденозин
- 24.12.2.3. Силденафил (Виагра)
Дополнительно:
Полиуретановые эластомеры В книге изложены вопросы, связанные с получением и применением сравнительно ...
Химия больших молекул. Сборник 2 Москва, 1948 год. Государственное издательство иностранной литературы. ...
Введение в химическую номенклатуру Краткое справочное пособие по современной номенклатуре неорганических, ...
Технология элементоорганических мономеров и полимеров В книге впервые в литературе обобщены данные по технологии и свойствам ...