11.10.2.6. Электроциклические реакции
Мезоионные оксидопиразиниевые соединения вступают в реакции циклоприсоединения [125] аналогично оксидопиридиниевым (разд. 5.8.) и оксидопирилиевым соединениям (разд. 8.1.7.)

Пиридазин-3-он вступает в реакции циклоприсоединения в качестве диена с диэтиловым эфиром азодикарбоновой кислоты по положениям 2 и 6, и синглетный кислород присоединяется по положениям 2 и 5 пиразинона [126]. При реакции акрилоилцианида с пиримидин-2,4-дионом удаётся выделить промежуточный циклоаддукт [127].

Фотохимические превращения оксипиримидинов были детально изучены, потому, что эти процессы, возможно, связаны с мутагенезом. Урацил, например, вступает в реакцию [2 + 2]-циклоприсоединия с самим собой [128] или с виниленкарбонатом (1,3-диоксол-2-оном) [129]. Для урацила также характерны реакции радикального присоединения [130], причём такие процессы, возможно, в большей степени связаны с мутагенезом.

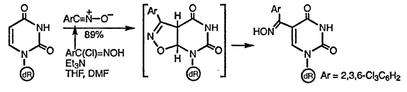
Взаимодействие дезоксиуридина с нитрилоксидами приводит к продукту реакции электрофильного замещения, но, вероятно, его возникновение связано с раскрытием цикла в первоначально образующемся циклоаддукте (разд. 11.8.) [131].

При облучении 2-пиримидоны [132] и 4-пиримидоны [133] превращаются в бициклические системы, а пиразины при этом изомеризуются в пиримидины [134].

Глава 11
- 11. Диазины, пиридазины, пиримидины и пиразины: реакции и методы синтеза
- 11.1. Реакции с электрофильными реагентами
- 11.1.1. Присоединение по атому азота
- 11.1.1.1. Протонирование
- 11.1.1.2. Алкилирование
- 11.1.1.3. Окисление
- 11.1.2. Замещение при атоме углерода
- 11.1.2.1. Галогенирование
- 11.2. Реакции с окислителями
- 11.3. Реакции с нуклеофильными реагентами
- 11.3.1. Замещение атома водорода
- 11.3.1.1. Алкилирование и арилирование
- 11.3.1.2. Аминирование
- 11.3.2. Замещение других уходящих групп
- 11.4. Реакции с основаниями
- 11.4.1. Депротонирование при атоме углерода
- 11.4.2. Металлирование
- 11.5. Реакции С-металлированных диазинов
- 11.5.1. Литийорганические производные
- 11.5.2. Реакции, катализируемые палладием
- 11.6. Реакции с восстановителями
- 11.7. Реакции со свободными радикалами
- 11.8. Электроциклические реакции
- 11.9. N-оксиды диазинов
- 11.10. Оксидиазины
- 11.10.1. Строение оксидиазинов
- 11.10.2. Реакции оксидиазинов
- 11.10.2.1. Реакции с электрофильными реагентами
- 11.10.2.2. Реакции с нуклеофильными реагентами
- 11.10.2.3. Реакции с основаниями
- 11.10.2.4. Замещение атома кислорода
- 11.10.2.5. Реакции, катализируемые переходными металлами
- 11.10.2.6. Электроциклические реакции
- 11.11. Аминодиазины
- 11.12. Алкилдиазины
- 11.13. Четвертичные азиниевые соли
- 11.14. Синтез диазинов
- 11.14.1.1. Из 1,4-дикарбонильных соединений и гидразина
- 11.14.1.2. Реакцией циклоприсоединения 1,2,4,5-тетразина к производным ацетилена
- 11.14.1.3. С использованием других реакций циклоприсоединения
- 11.14.1.3.1. С использованием галогеносодержащих гидразонов
- 11.14.1.3.2. С использованием S,S-диоксидов тиофена
- 11.14.1.3.3. С использованием галогенозамещённых циклопропенов
- 11.14.2. Синтез пиримидинового кольца
- 11.14.2.1. Из 1,3-дикарбонильных соединений и соединений, содержащих фрагмент N-C-N
- 11.14.2.2. Реакцией циклоприсоединения 1,3,5-диазинов к производными ацетилена
- 11.14.2.3. Из 3-этоксиакрилоилизоцианата и первичных аминов
- 11.14.3. Синтез пиразинового цикла
- 11.14.3.1. Самоконденсацией 2-аминокетонов
- 11.14.3.2. Из 1,2-дикарбонильных соединений и 1,2-диаминов
- 11.14.3.3. Синтез пиразинов через сульфиды
- 11.14.4. Примеры некоторых важных синтезов диазинов
- 11.14.4.1. 4-Амино-5-циано-2-метилпиримидин
- 11.14.4.2. 4,6-Диамино-5-тиоформамидо-2-метилпиримидин
- 11.14.4.3. Карбоциклический бромвинилдезоксиуридин
- 11.14.4.4. Коелентеразин
- 11.14.4.5. 2,5-Диметил-3-н-пропилпиразин
- 11.15. Птеридины
Дополнительно:
В справочник включены сведения об органических стабилизаторах, ускорителях и ...
Деструкция и стабилизация поливинилхлорида В книге изложены вопросы деструкции и стабилизации одного из наиболее ...
Изложены современные представления о технологических свойства полимерных ...
